calculerade och uppmätta faskompositioner: Kompositionerna av C-och C-phase (&CC och CC&) i de fyra undersökta legeringarna mättes med 3D APT (Erbo 1) [36] och med tem-EDX (ERBO 15 och derivat) [32]. De experimentella resultaten för de två faserna presenteras i tabellerna 7 (c-phase) och 8 (c-&-fas). Tabellerna 7 och 8 innehåller också ThermoCalc förutsägelser erhållna för temperaturer vid 1143 K (temperaturen för andra fällningsbehandlingssteget för alla legeringar), vid 1413 K och 1583 K (Erbo/1; temperaturen för första fällningsbehandlingssteget och homogenisering, respektive) och vid 1313 k och 1583 k (Erbo/15-varianter; temperatur av första utfällningsbehandlingssteg respektive homogenisering). Eftersom C-phase uppvisar en mindre volymfraktion än C-phase, förändras förändringar i sin kemiska sammansättning&mer uttalade. I fig. 10 och 11, vi presenterar kompositioner för C-phase från Tabell 7 som cirkeldiagram. Figur 10 visar experimentella data, som mättes i alla fyra värme-behandlade legeringar före kryp. ThermoCalc förutsägelser erhölls för c-phases av Erbo/1 (1143, 1413 och 1583 K) och för Erbo/15 (1143, 1313 och 1583 K) presenteras i Fig. 11.
the data som presenteras i tabell 7 och fig. 10 och 11 (C-phase) och i tabell 8 (C-phase, data som presenteras&utan grafik) visar att ökande temperaturer resulterar i ökande mängder av Ti, Al och TA och samtidigt minskande mängder av CR, CO, W och Re för erbo/1 i c-phase. Såsom framgår av termokalc-resultaten som presenteras i Fig. 11 ökar mängden av baselementet Ni med ökande temperatur i Erbo/1. Däremot minskar den med ökande temperatur i Erbo/15.The thermodynamiska data för C-och C-phases i&Tabell 7 (och fig. 10 och 11) och tabell 8, respektive, vidare visar att ThermoCalc data för 1143 K (temperaturen på sista fällnings behandling av experimentella legeringar) och experimentellt bestämda data inte helt överens men rimligtnära varandra för båda legeringssystem. Endast i fallet med Erbo/15 visar elementet MO ett signifikant lägre värde i beräkningen vid 1143 K (1,0 vid.%) Än i experimentet (4.4at.%).
discussion elastiska styvheter: Som framgår av fig. 6A-C minskar alla elastiska styvheter med ökande temperatur. Detta är främst en följd av anharmoniciteten hos gitterpotentialen. Med ökande temperatur leder de ökande termiska vibrationerna till större bindningsavstånd, vilket resulterar i en minskning av bindningsinteraktion och således i en minskning av elastiska styvheter. Det elastiska beteendet hos Erbo/1 och Erbo/15 ärnästan identiskt, medan resultaten för de smälta erbo&15-varianterna för C11 och C12 fallernågot kort. Detta påverkar inte signifikant den elastiska moduli E \\ 100 [, som alla är mycketnära (fig 6d). Som framgår av tabell 9 skiljer sig enskilda legeringselement av SX i storlek, kristallstruktur, Youngs modul, elektronegativitet och smältpunkt [48-51]. Figur 6D visar att förändringarna i legeringskemi som behandlas i det föreliggande arbetet inte starkt påverkar elastiska egenskaper. Detta är i linje med slutsatserna som dras av Demtro'der et al. [41], som visade att ännu större variationer av legeringskompositioner än beaktas i det föreliggande arbetet, påverkar inte starkt de elastiska egenskaperna hos SX. Det elastiska beteendet hos en enda kristall återspeglar direkt anisotropin hos sitt bindningssystem. Den senare styrs huvudsakligen av typ, antal och rumsliga arrangemang avnärmaste#Neighbor-kontakter i kristallstrukturen. Eftersom strukturerna för L/base SX (inklusive c-c '-mikrostrukturer) samt deras huvudsakliga kemiska kompositioner ([62 vid./% Ni, [11 vid.-% Al) skiljer sig endastnågot, interaktionerna domineras av Ni-Ni och Ni-Al-kontakter, vilket leder till att endast små variationer av de makroskopiska elastiska styv [42].--
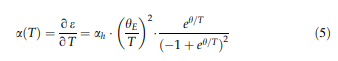
Solvus temperaturer: Termisk expansion är förknippad med ett materials tendens att ändra volymen med ökande temperatur. I en kristall är detta associerat med en ökande vibrationsenergi hos atomerna och den icke-harmoniska formen av gitterpotentialen. Enligt Gru¨&Neisen-förhållandet är Aðtþ proportionell mot värmekapaciteten; sålunda kan den termiska stam eðTÞ vara-- described av en integrerad form av Einsteins modell [52, 53]:
temperaturgränsen för den termiska expansionskoefficienten, och han motsvarar Einstein-temperaturen. Den första derivatan med avseende på temperaturen ger den termiska utvidgningskoefficienten:-

Jobbtitel: Product manager
Avdelning: Market Department
Företagets telefon: +86 021-59150215
E-post: Kontakta oss
Mobiltelefon: +86 13817160919
Hemsida: lanzhusuperalloy.sweb2b.com
Adress: No. 2800 Caoxin Road, Xuhang Town, Jiading District, Shanghai