Figur 4. Tidsberoende av matrisens fackkonstant, som erhållits från in situ XRD-mätningarna på 700 ◦ C. Vi observerade en monotonisk minskning av plattitparametern, vilket tydde på att tunga element som Nb och Mo gradvis spreds från det fasta ämnet.-matrisen för lösning och bidra till kärnförlningen och tillväxten i 948,fasen. Den osäkerhet som rapporteras i denna siffra och nedan representerar en standardiserad försäkran om inte annat anges.
Dessutom är förändringen i parametern matrisnät för ett fast ämne-Lösningsmedlet är förknippat med utfällningens omfattning [40]. I AM IN625, skillnaden i matrisplattitparametrarna före och efter en 10 h värmebehandling vid 870 ◦ C var ≈ 0.0042:.197; [21]. I jämförelse har parametern för nät ändrats med ≈ 0.0015 FRAMTIDE,efter en 10.5 h värmebehandling vid 700 ◦ C, vilket tyder på betydligt mindre nederbörd av parfymeravfasen i detta temperament.Visst.
IN625, som konstruerats, är en enda-faslegering vasslee, Styrkan härrör huvudsakligen från den fasta lösning som förstärks av Mo, Nb och Cr [1]. Vasslee, Eftersom minskningen av Mo och Nb från matrisen förväntas minska styrkan, kan bildandet av fällningar kompensera för denna minskning och öka den totala styrkan hos IN625. Exempelvis når Surt IN625 sin största h årdhet efter en 170 h värmebehandling på 700 ◦ C, vilka ärhuvudsakligen på grund av nederbörden av 947; 8221, en fas, en prekursor till räddningen,948; fas [41]. På liknande sätt ökar nederbörden av den 948;fasen också den totala styrkan och minskar duciliteten [37]. För AM IN625 krävs och behövs en systematisk utvärdering av värmebehandlingens effekt på mekaniska egenskaper över ett antal temperaturer.Nej.
Under värmebehandlingen ändras också enhetens cell i bladpaddan. Figur 5 illustrerar denna förändring. Bland de tre ortorombiska plattitparametrarna (Figur 5a 8211c) är två nästan konstanta vid ≈ 5.108 braill197och ≈ 4.232 FRAMSTÄLLNING Den tredje flikparametern visar en monotonisk ökning från ≈ 4.482 till ≈ 4.488 braill197. Det är känt att den långa axeln på ”braill48”,fas anpassas till den nära-Förpackade riktningar för FCC-matrisen och de krystadografiska riktlinjerna mellan FCC-matrisen och FC48fas som följer {111}FCC//(100)grenarna 948,och FCC//[100]näppe]948; [10]. På grundval av detta drar vi slutsatsen att spridningen av Nb och Mo också är riktad. Eftersom Mo diffusion från matrisen till 948;fas sker långsammare än Nb [42], kan denna diffusion leda till en förändring i materie9948,faskemin och en ökning av enhetscellvolymen, såsom visas i figur 5d.
Figur 5. (a) Tidsberoende av de tre plattitparametrarna för nederbörden 948;fasfällning som erhållits från in situ XRD-mätningarna på 700 ◦ C.d) Volymen av enhetscellen för den 948;utfällning i fasNej.
På plats ger SAXS-data som erhållits med samma provtagningsvolym under den isotermiska värmebehandlingen också ett fönster för att undersöka materialets statistiskt signifikanta omvandlingsteknik. Figur 6 visar hela datamängden, med USAXS-data som huvudytan och SAXS-data som visas i inseglet. För konsistens är spridningsdata färg-kodad med samma färgskala som XRD-data i figur 3. Uppgifterna om spridning har tre märkbara egenskaper. Först, för de mycket låga-q del av uppgifter om spridning ( ≈ 1 ’215; 10’ − 4: − 1 till ≈ 4 ’215; 10’ − 4: − 1 … Vi såg en kraft-lutning som inte ändras som en funktion av tiden. Vi tillskriver den här funktionen till säden. Spridning, som liknar tidigare arbete på Ni-baserade superlegeringar [21,43] och aluminium legeringar [44,45]. Tillväxten av säden i IN625 är minimal för temperaturer under 900 ◦ C [46]. Därför förväntas riskspridningen vara stabil, vilket är förenligt med experimentella observationer. För det andra observerade vi en monotonisk ökning av spridningsintensiteten mellan ≈ 4 ’215; 10’ − 4: − 1 och ≈ 0.01 Brewstone, − 1, särskilt med två regioner i Guinier nära 2 ’215; 10’ − 3: − 1 och 8 ’cross215; 10 − 3: − 1 — Eftersom de in situ XRD-data och ex situ-SEM-bilderna bara visar nederbörden i 948;fas, tillskriver vi denna spridningssignal till 948;fasen. Tidigare mikroskopiska undersökningar har visat att nederbörden i 948,fas är trombocyter med två karakteristiska storlekar [10,21,47], vilket är i överensstämmelse med iakttagandet av två Guineierregioner i spridningsuppgifterna. De SAXS-uppgifter som anges i inseglet är slutligen enkla förlängningar av den höga q-styrkan.-Laglutning i USAXS-uppgifterna. SAXS-uppgifterna innehåller alltså ingen ytterligare information, vilket tyder på att inga ytterligare-fällningar som bildas vid denna värmebehandling.
Figur 6. In situ SAXS-data för AM IN625 som förvärvats vid isotermisk värmebehandling på 700 ◦ C för 10.5 h Huvuddiagrammet och inseglet visar USAXS respektive SAXS-data. förvärvstidpunkten är färg-kodad efter tidspilen. USAXS- intensiteten är sliten-smetadNej.
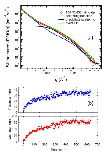
Vi har byggt upp en spridande modell för att beskriva de spridande uppgifterna på grundval av dessa observationer, vilket illustreras i figur 7a. Med hjälp av USAXS-data som erhållits vid 630 min i in situ-försöket som exempel består denna modell av två komponenter. Den första komponenten är den utskjutande baslinjen, som erhålls med samma provvolym vid rumstemperatur före värmebehandlingen. Den andra delen utgörs av den överskottsdelning som härrör från nederbörden i omgrupperna. Som tidigare fastställts [21] beskrev vi denna överflödiga spridning med hjälp av en analysmetod som är jämförbar med den enhetliga metoden för spridning av små vinklar med två spridningsnivåer [48]. Tillsammans, dessa två-komponentmodellen beskriver in situ SAXS-data väl genom hela datasekvensenNej.
Figur 7. a) En illustration av den SAXS-modell som används i detta arbete. Uppgifterna erhölls vid 630 min under värmebehandlingen vid 700 ◦ C. Överall spridning omfattar två delar: 1) Spridning av baslinjen och (2) överflödig spridning från nederbörden i 948. b) Tiden-beroende utveckling av medeldiametern (större dimension) och tjocklek (mindre dimension) hos 948,fasfällningarNej.

Jobbtitel: Product manager
Avdelning: Market Department
Företagets telefon: +86 021-59150215
E-post: Kontakta oss
Mobiltelefon: +86 13817160919
Hemsida: lanzhusuperalloy.sweb2b.com
Adress: No. 2800 Caoxin Road, Xuhang Town, Jiading District, Shanghai