Introduction
viktig riktning i vibrations diagnostik av flyggasturbinmotorer och turbomaskiner är diagnostics genom modellering. Modellering ger en möjlighet att knyta förekomsten av vissa typer av maskindefekter med tecken på sinnärvaro i vibrationssignalen. En av dessa defekter är spricka framträdande i axlar flygmotorer och turbomaskiner som är otillåtet. Så den viktigaste uppgiften för diagnossystemet är att upptäcka sprickor i tid och prognos dess utveckling.
Appearance av spricka i rotorn resulterar i lokal styvhet minskar. Värdet av stelhet förlust beror på geometriska egenskaper spricka. Om statisk belastning såsom vikt kraft anbringas, öppnas spricka och stänger medan rotorn roterar. Som ett resultat, ändrar skaftets styvhet per en cykel. Spricka i ledningarna systemets rötor till following förändringar i vibrationssignalen [1]:
•increase i amplitud hos 1x överton av rotationshastighet på grund av tillväxt av statisk avböjning orsakad av styvhetsminskning.
•appearance av 2x komponent i rotationshastighet på grund av asymmetrisk rotor styvhet.
•appearance av 3х komponent i rotationshastighet på grund av cykliska öppning och stängning av spricka.
huvuduppgift den matematiska modellen är beskrivning av värde och lagen i lokal förändring i styvhet i
OLE plats where spricka sker med tanke på så många faktorer som möjligt.
Det finns många metoder för att simulera spricka. I det enklaste fall spricka simuleras genom minskning i radiell styvhet av hela axeln [2,3,4]. I de övriga fallen skaftdelen, where spricka sker, är ersäte, d med en likvärdig balkelement. Koefficienter av styvhet matris av sådant element beräknas med spricka i beräkningen och ändring per en cykel. I arbetet [5] beräkning av styvhetsmatrisen av balkelementet med spricka är baserad på användning av tröghets stunder av sektionen trålen väger spricka. I arbetet [6] styvhet matris av sådant element är beräknad på basis av ekvationer av mekanik av fasta kroppar förstörelse. Spricka kan simuleras genom elastisk länk som ansluter gräns sektioner av axeln i stället för dess plats och ge sprickan ögonblick styvhet [7,8].
Ändra i spricka styvhet beroende på dess öppning och stängning medan rotorn roterar kan beskrivas matematiskt på olika sätt. I det enklaste fallet kan det antas att spricka har endast två lägen: helt opened eller helt stängd, och stegfunktion kan appliceras för att beskriva dess styvhet förändring matematiskt [4].
Work [3] beskrivs de flesta spridnings modeller av styvhetsändring. En av dem är Gasch ekvation. Förändring
i styvhet äger rum beroende på vinkeln mellan fasen av statisk kraft och spricka fas och beskrivs av 17 övertoner av Fourier-serier. Samma artikel ger Maes&Davies ekvation where styvhet ändras beroende på vinkeln enligt cosinus lag. I Yang modell styvhet ändras med cosinus lagen i grad av relativ sprickdjup.
Detta artikeln utvecklar sprickan modell på grundval av existed tillvägagångssätt och också presenterar metodologin som ger möjlighet att belysa tecken som används för att upptäcka sitt tillstånd för exakt rotorn.
algoritm ingår i Dynamics R4 programmet [9], som representerar den dedikerade
system om beräkning av dynamiska beteende komplexa rotorsystem.
Crack modell
Within den accepterade simulering befruktningen, spricka i axeln modell är ersatt av en elastisk länk dividera axeln i två sektioner och beskriva av stelhet matris med variabel koefficienter. Om det inte finnsnågon spricka, stam kompatibilitet tillstånd mellan de delar av axeldelarna åstadkommes, så alla inbördes förskjutningar är förbjudna. Vi presenterar det roterande koordinatsystem ηOε ligger i sprickan området Figur 1. Dess ursprung sammanfaller med ursprunget av den fasta koordinatsystem XYZ. Axeln exekverar två motioner - korrekt rotation och precession runt Z-axeln. När man beskriver spricka vi anser endast rotation runt η och e axlar. Förskjutningar vid andra frihetsgrader försummas.
Figure 1. Crack avsnittet
Flexibility matris av länken simulera spricka i det roterande koordinatsystemet kan skrivas som following:
where q =j-a -skillnad i faser, j -axelns rotationsvinkel, a -precession vinkel; gee (q) och gHH (q )-variabel coefficients av ögonblick flexibilitet.
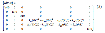
Flexibility beror på vinkelnqbecause medan axeln roterar, öppnas och stängs spricka. Styvhetsmatrisen erhålls genom inversion av[GR(q)]matrix, ochnoll flexibilitetskoefficienterna vid huvuddiagonalen ledningen till erhållandet av styvhetskoefficient gå till oändligheten. Vi begränsar värdet av sådana styvhetskoefficienterna genom 1е10 N/m; detta antagande påverkar inte signifikant resultat, dvs erhåller vi
Stiffness matrisen omvandlas till det fasta koordinatsystemet med hjälp av följande ekvation:
where[T]-rotationsmatris (4), whereC1=COs (j),S1=sin (j)
Multiplying matriser i överensstämmelse med ekvation (3) erhåller vi:.
Vi utför vissa transformationer som ger möjlighet att övergå till enklare beskrivningen av sprickan stiffness matris och algoritmen av dess koefficienter erhållande. I motsvarighet till den Maes modellen, det may antas att radiella flexibiliteten hos cirkulär stråle med crack ändras från lägsta till högsta värde genom cosinus lag.
whereg0-flexibilitet hos strålen utan sprickan (minimivärde),gc-flexibilitet av strålen med öppen crack (högsta värde).
Vi ersätta spricka med ett gångjärn med ögonblick styvhet kinit mh . Balkrandvillkor bör ge sitt statical definability som det visas i figur 2.
Figure 2 . Ersättning av spricka genom gångjärn
then radiella flexibiliteten hos markerade avsnittet av axeln med öppen spricka erhålls som:
whereE-Young modul,I-diametral tröghetsmoment av sektionen axeln, kinit mh - koefficient ögonblick styvheten hos en motsvarande länk motsvarande fullt öppen spricka.

Jobbtitel: Product manager
Avdelning: Market Department
Företagets telefon: +86 021-59150215
E-post: Kontakta oss
Mobiltelefon: +86 13817160919
Hemsida: lanzhusuperalloy.sweb2b.com
Adress: No. 2800 Caoxin Road, Xuhang Town, Jiading District, Shanghai